[最も欲しかった] 小数点 �� 筆算 105955
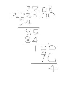
小数の割り算で32 5 1 2 27 08ですが筆算でやるとど Yahoo 知恵袋
整数と、けたをそろえて筆算、小数同士で、の3種類を練習します。 小数点が動く 10の乗数をかけたり割ったりすることで、小数点が左右に動くことを練習するドリルです。 レベル制です。小数で割るほうが難しいと思ったので、それがレベル2になるよう小数の引き算の計算 小数の引き算についてもポイントは足し算と変わりません。 小数点の位置や位を揃えれば後は整数と同じ要領で計算できるようになります。 たとえば「 32− 115 32 − 115 」という計算をする場合、「 3− 115 3 − 115 」と考えて
小数点 の 筆算
小数点 の 筆算-このページのドリル作成プログラムによって,次に示すような小数わり算の筆算のドリル(練習問題)がつくられます. 数値の大きさおよび小数点以下の桁数を調整できますので,難易度を自在に設定できます. 例) 06 54 小数のたし算の筆算 位をそろえて計算をするたし算の筆算のプリントです。 空欄は0と考えて計算できるとよいです。 また、今回のプリントでは、計算をすると小数点以下が0になる問題もあります。 その際は、0の上から左上から右下への斜線を引いて0
小数点の割り算 筆算のやり方は あまりが出る場合などもイチから解説 数スタ
学校で教わる筆算も、この整数に直す方法を使っているのです。 筆算を書く 小数点を右に動かす(これはそれぞれ10倍していることと同じ) 計算して答えを出す 小数点を動かした分だけ、答えの小数点を左に動かす(÷100していることと同じ)最低限覚えること 桁の違う小数点のある数字の計算は、小数点の位置を合わせて筆算(ひっさん)します。 678 ) 678 引き算も同じです。 小数点の位置を合わせて筆算(ひっさん)します。 小数点以下がある数字と整数の計算の 引き算の場合も、ひっ算のポイントは2つです。 小数点の位置をそろえる。 小数点以下の答の一番小さい位が0だった場合は、0を消す。 この2つです! 「おや、見覚えがある」という方。さすがです! 実はこれは小数の足し算のポイントと同じなんですね。
筆算のやり方 小数点がないものとして7×3の筆算をする 積の小数点は 100分の1になるから左へ2けた移る *一の位の0を書くのを忘れないようにしましょう。 練習問題をダウンロードする *画像をクリックするとpdfファイルをダウンロードできます。 問題はまとめ 「1」を10個に分けたうちの1個分を「01」、「1」を100個に分けたうちの1個分を「001」と表す。 小数のたし算・ひき算は、小数点の位置をそろえて計算する。 小数のかけ算は、最初は小数点を無視してかけ算をし、最後にかける数とかけられる数の小数のかけ算 筆算プリント一覧※先頭文字か「問題解答印刷」で 選択してください。レベル1(小数のかけ算Ⅰ 4年の内容)レベル2(小数のかけ算Ⅱ 5年の内容)レベル1 (小数)×(整数)a12×7小数(第一位)×整数(1ケタ)問題解答印刷b75×4小数点以下の末位の0を消す問題解答印刷c136×2小数(第二位)×整数(1
小数点 の 筆算のギャラリー
各画像をクリックすると、ダウンロードまたは拡大表示できます
![]() 4年算数小数 整数 小数 整数 1 教え方 | 4年算数小数 整数 小数 整数 1 教え方 | ![]() 4年算数小数 整数 小数 整数 1 教え方 |
4年算数小数 整数 小数 整数 1 教え方 | ![]() 4年算数小数 整数 小数 整数 1 教え方 | 4年算数小数 整数 小数 整数 1 教え方 |
4年算数小数 整数 小数 整数 1 教え方 | ![]() 4年算数小数 整数 小数 整数 1 教え方 | ![]() 4年算数小数 整数 小数 整数 1 教え方 |
「小数点 の 筆算」の画像ギャラリー、詳細は各画像をクリックしてください。
![]() 4年算数小数 整数 小数 整数 1 教え方 | ![]() 4年算数小数 整数 小数 整数 1 教え方 | ![]() 4年算数小数 整数 小数 整数 1 教え方 |
![]() 4年算数小数 整数 小数 整数 1 教え方 | ![]() 4年算数小数 整数 小数 整数 1 教え方 | ![]() 4年算数小数 整数 小数 整数 1 教え方 |
![]() 4年算数小数 整数 小数 整数 1 教え方 | ![]() 4年算数小数 整数 小数 整数 1 教え方 | ![]() 4年算数小数 整数 小数 整数 1 教え方 |
「小数点 の 筆算」の画像ギャラリー、詳細は各画像をクリックしてください。
![]() 4年算数小数 整数 小数 整数 1 教え方 | ![]() 4年算数小数 整数 小数 整数 1 教え方 | 4年算数小数 整数 小数 整数 1 教え方 |
![]() 4年算数小数 整数 小数 整数 1 教え方 | 4年算数小数 整数 小数 整数 1 教え方 | ![]() 4年算数小数 整数 小数 整数 1 教え方 |
4年算数小数 整数 小数 整数 1 教え方 | ![]() 4年算数小数 整数 小数 整数 1 教え方 | 4年算数小数 整数 小数 整数 1 教え方 |
「小数点 の 筆算」の画像ギャラリー、詳細は各画像をクリックしてください。
![]() 4年算数小数 整数 小数 整数 1 教え方 | ![]() 4年算数小数 整数 小数 整数 1 教え方 | ![]() 4年算数小数 整数 小数 整数 1 教え方 |
4年算数小数 整数 小数 整数 1 教え方 | 4年算数小数 整数 小数 整数 1 教え方 | 4年算数小数 整数 小数 整数 1 教え方 |
4年算数小数 整数 小数 整数 1 教え方 | 4年算数小数 整数 小数 整数 1 教え方 | ![]() 4年算数小数 整数 小数 整数 1 教え方 |
「小数点 の 筆算」の画像ギャラリー、詳細は各画像をクリックしてください。
![]() 4年算数小数 整数 小数 整数 1 教え方 | ![]() 4年算数小数 整数 小数 整数 1 教え方 | ![]() 4年算数小数 整数 小数 整数 1 教え方 |
![]() 4年算数小数 整数 小数 整数 1 教え方 | 4年算数小数 整数 小数 整数 1 教え方 | ![]() 4年算数小数 整数 小数 整数 1 教え方 |
![]() 4年算数小数 整数 小数 整数 1 教え方 | ![]() 4年算数小数 整数 小数 整数 1 教え方 | ![]() 4年算数小数 整数 小数 整数 1 教え方 |
「小数点 の 筆算」の画像ギャラリー、詳細は各画像をクリックしてください。
![]() 4年算数小数 整数 小数 整数 1 教え方 | 4年算数小数 整数 小数 整数 1 教え方 | ![]() 4年算数小数 整数 小数 整数 1 教え方 |
![]() 4年算数小数 整数 小数 整数 1 教え方 | 4年算数小数 整数 小数 整数 1 教え方 | ![]() 4年算数小数 整数 小数 整数 1 教え方 |
![]() 4年算数小数 整数 小数 整数 1 教え方 | ![]() 4年算数小数 整数 小数 整数 1 教え方 | ![]() 4年算数小数 整数 小数 整数 1 教え方 |
「小数点 の 筆算」の画像ギャラリー、詳細は各画像をクリックしてください。
![]() 4年算数小数 整数 小数 整数 1 教え方 | ![]() 4年算数小数 整数 小数 整数 1 教え方 | ![]() 4年算数小数 整数 小数 整数 1 教え方 |
![]() 4年算数小数 整数 小数 整数 1 教え方 | 4年算数小数 整数 小数 整数 1 教え方 | 4年算数小数 整数 小数 整数 1 教え方 |
![]() 4年算数小数 整数 小数 整数 1 教え方 | ![]() 4年算数小数 整数 小数 整数 1 教え方 | ![]() 4年算数小数 整数 小数 整数 1 教え方 |
「小数点 の 筆算」の画像ギャラリー、詳細は各画像をクリックしてください。
4年算数小数 整数 小数 整数 1 教え方 | 4年算数小数 整数 小数 整数 1 教え方 | ![]() 4年算数小数 整数 小数 整数 1 教え方 |
![]() 4年算数小数 整数 小数 整数 1 教え方 | ![]() 4年算数小数 整数 小数 整数 1 教え方 | ![]() 4年算数小数 整数 小数 整数 1 教え方 |
4年算数小数 整数 小数 整数 1 教え方 | 4年算数小数 整数 小数 整数 1 教え方 | 4年算数小数 整数 小数 整数 1 教え方 |
「小数点 の 筆算」の画像ギャラリー、詳細は各画像をクリックしてください。
![]() 4年算数小数 整数 小数 整数 1 教え方 | ![]() 4年算数小数 整数 小数 整数 1 教え方 | ![]() 4年算数小数 整数 小数 整数 1 教え方 |
![]() 4年算数小数 整数 小数 整数 1 教え方 | ![]() 4年算数小数 整数 小数 整数 1 教え方 | ![]() 4年算数小数 整数 小数 整数 1 教え方 |
![]() 4年算数小数 整数 小数 整数 1 教え方 | ![]() 4年算数小数 整数 小数 整数 1 教え方 | 4年算数小数 整数 小数 整数 1 教え方 |
「小数点 の 筆算」の画像ギャラリー、詳細は各画像をクリックしてください。
![]() 4年算数小数 整数 小数 整数 1 教え方 | 4年算数小数 整数 小数 整数 1 教え方 | ![]() 4年算数小数 整数 小数 整数 1 教え方 |
![]() 4年算数小数 整数 小数 整数 1 教え方 | ![]() 4年算数小数 整数 小数 整数 1 教え方 | ![]() 4年算数小数 整数 小数 整数 1 教え方 |
4年算数小数 整数 小数 整数 1 教え方 | ![]() 4年算数小数 整数 小数 整数 1 教え方 | 4年算数小数 整数 小数 整数 1 教え方 |
「小数点 の 筆算」の画像ギャラリー、詳細は各画像をクリックしてください。
4年算数小数 整数 小数 整数 1 教え方 | ![]() 4年算数小数 整数 小数 整数 1 教え方 | ![]() 4年算数小数 整数 小数 整数 1 教え方 |
![]() 4年算数小数 整数 小数 整数 1 教え方 | ![]() 4年算数小数 整数 小数 整数 1 教え方 | ![]() 4年算数小数 整数 小数 整数 1 教え方 |
![]() 4年算数小数 整数 小数 整数 1 教え方 | ![]() 4年算数小数 整数 小数 整数 1 教え方 | 4年算数小数 整数 小数 整数 1 教え方 |
「小数点 の 筆算」の画像ギャラリー、詳細は各画像をクリックしてください。
![]() 4年算数小数 整数 小数 整数 1 教え方 | ![]() 4年算数小数 整数 小数 整数 1 教え方 | 4年算数小数 整数 小数 整数 1 教え方 |
![]() 4年算数小数 整数 小数 整数 1 教え方 |
STEP3 小数点を降ろす 最後に上の小数と同じ場所に小数点を降ろしてあげれば、計算完了です。 362 0480 −−−−−− 842 362 0 480 _ 842 以上より答えは 842 842 となります。 トムソン この記事では解き方を解説しました。 小数のたし算の解き方はこれ カテゴリー「小学生教材・プリント」>「算数プリント」>「分数の引き算(小4)|算数プリント|練習問題|小学4年生」 小学4年生で学習する「分数の引き算」 4問目 整数と分数(帯分数)の引き算 整数を分数に変換する 必要がある 下の「プリント










-(%E7%AD%86%E7%AE%97)%E5%B0%8F%E6%95%B0%E3%81%AE%E6%8E%9B%E3%81%91%E7%AE%97(2%E6%A1%81)-1.png)





























































コメント
コメントを投稿